Subscribe Today
Por: BlazeMaster México Fecha: 17 de Diciembre de 2025
¿Cómo calcular una instalación hidráulica para aspersores contra incendios?
Para asegurar el funcionamiento correcto de los aspersores en un sistema contra incendios, es necesario realizar un cálculo hidráulico preciso, que garantice la presión y el caudal necesarios en todas las partes del sistema.
A continuación, te guiaremos paso a paso sobre cómo calcular una instalación hidráulica para aspersores contra incendios, abordando fundamentos técnicos, normativas aplicables y fórmulas esenciales utilizadas en este tipo de sistemas, especialmente cuando se emplean tuberías de CPVC.
En qué consiste el cálculo hidráulico
El cálculo hidráulico es el proceso para diseñar una red capaz de suministrar agua en la cantidad y presión requeridas para controlar un incendio. Este análisis considera parámetros como el caudal, presión, pérdidas de carga y la disposición geométrica del sistema.
Principales variables del cálculo hidráulico:
- Suministro de agua: deben evaluarse la presión estática, residual y el caudal disponible.
- Demanda del sistema: se determina a partir del riesgo de incendio y el área de operación.
- Factor K del rociador: define la relación entre presión y caudal.
La fórmula básica que relaciona caudal, presión y factor del rociador es:

Donde:
- Q: caudal (L/min o GPM)
- K: factor de descarga del rociador
- P: presión en el rociador (bar o PSI)
¿Cómo calcular la tubería de una instalación hidráulica?
Una parte crítica del diseño es el dimensionamiento de las tuberías que conectan los aspersores contra incendios entre sí y con la fuente de agua. Para esto, es necesario considerar:
- Longitud total del tramo
- Diámetro interno de la tubería
- Pérdidas por fricción (continuas y localizadas)
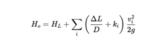
La fórmula general para pérdidas de energía útil es:

También se debe aplicar el principio de conservación de caudales en nodos:

Fórmula de Hazen-Williams (pérdida por fricción) para la estimación empírica de la pérdida de carga por fricción en tuberías:

Donde:
- Q: caudal (gal/min)
- d: diámetro interno (pulgadas)
- C: coeficiente de rugosidad de la tubería.
Estos cálculos pueden hacerse manualmente en instalaciones pequeñas, pero lo más eficiente es utilizar herramientas de simulación hidráulica, tanto para sistemas contra incendios sencillos como para redes contra incendios más complejas.
Cálculo de instalaciones hidráulicas: paso a paso
Para llevar a cabo el cálculo de instalaciones hidráulicas contra incendios, puedes seguir estos pasos:
- Definir el área de operación según el tipo de ocupación (de acuerdo con la norma NFPA 13)
- Evaluar el suministro de agua disponible (presión y caudal)
- Seleccionar los rociadores adecuados
- Calcular el caudal necesario con la fórmula Q =K\P
- Diseñar la red de tuberías considerando pérdidas por fricción
- Verificar el punto más desfavorable hidráulicamente
- Ajustar y balancear el sistema para garantizar presión mínima en todos los rociadores
¿Cuánta presión aguanta un tubo de CPVC?
Las tuberías de CPVC BlazeMaster® están clasificadas para soportar una presión de servicio continuo de hasta 175 psi (1207 kPa) a 150°F (65°C).
Este comportamiento lo convierte en una excelente opción para sistemas de aspersores contra incendios, especialmente en edificaciones donde se busca facilidad de instalación, resistencia química y durabilidad sin corrosión.
¿Cómo calcular una instalación hidráulica completa?
Además del diseño del sistema de rociadores, un cálculo hidráulico completo debe incluir:
- Análisis de la red en régimen cuasi estacionario.
- Evaluación de las pérdidas de carga mediante fórmulas empíricas como Hazen-Williams.
- Verificación del cumplimiento con NFPA 13, que regula los criterios mínimos de diseño para rociadores automáticos.
Normativas para el cálculo de aspersores contra incendios:
La norma NFPA 13 es el principal referente para el diseño de sistemas de aspersores automáticos. Algunas de las secciones relevantes que contempla son:
- Métodos de diseño hidráulico.
- Procedimientos paso a paso para el cálculo.
- Requisitos de aceptación del sistema (pruebas de presión y caudal).
Cumplir con esta normativa garantiza la eficacia operativa y el respaldo legal del sistema.
Contacta a nuestro equipo de especialistas para recibir asesoría sobre tuberías y conexiones BlazeMaster® CPVC, disponibilidad de productos, soporte técnico y especificaciones para optimizar la calidad de tu instalación.
Continúa leyendo sobre los sistemas contra incendios y el suministro subterráneo de agua.

